4.一些重要函数的极限

函数与图形

极限与特征

曲线关于y轴对称

极限

[]

曲线关于y轴对称

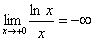
极限

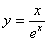
渐近线 y=ex=1

[]

极小点

[]

极大点 A(e, )

B(,)

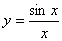
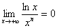
渐近线 y=0x=0

=0

[]

 

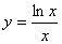
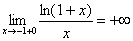
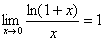
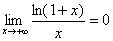
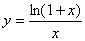
渐近线 y=0x=1

y轴交点O(0,0),该点切线斜率为1

极大点 A(1,)

B(2,)

渐近线 y=0

[]

(n>0)

曲线由两支组成

不连续点 x=0

渐近线 y=x+1

不连续点 x=0

渐近线 y=1x=0